仕事算(何日で終わるか) 仕事算(合同作業) 植木算 年齢算(年数を求める) 年齢算(年齢を求める) 濃度算(混ぜる) 濃度算(薄める) 濃度算(濃くする) 流水算 旅人算(出 今回は和差算について解説をしてみました。 私ゆずぱが子供の中学受験で 最もカルチャーショックを受けた問題 のひとつです∑ (゚Д゚) 方程式ではなく線分図という謎のツールを使 基本公式:路程=速度×时间;路程÷时间=速度;路程÷速度=时间 关键问题:确定运动过程中的位置和方向。 相遇问题:速度和×相遇时间=相遇路程(请写出其他公式) 追及问题:追及时
和差算ってどんなもの 和差算をわかりやすく解説 中学受験ナビ
和差算 公式 3つ
和差算 公式 3つ-知乎,中文互联网高质量的问答社区和创作者聚集的原创内容平台,于 11 年 1 月正式上线,以「让人们更好的分享知识、经验和见解,找到自己的解答」为品牌使命。知乎凭借认真、专业、友善的社区和差算というのは、2つの数の和と差から、2つの数がそれぞれいくつかを求めるもの。 公式にあてはめれば、カンタンに計算することが出来ます。 和差算の公式 2つの数のうち大きいほう = ( 和



速算公式 平方差公式 数学计算公式 奥数网
差压流量计的通用计算公式如下图所示,由式 1 推导可得到式 2。 式中 Q 代表流量, P 代表差压,ρ 代表流体密度,K 是仪表系数,由流量计出厂标 定时得到。 流量与差压的平方根成正比。 差压式流算数 和差算とは? 例題を使って解き方、考え方を解説するぞ! LINE 和差算とは、数量の和や差が分かっているとき、それぞれの数がどうなっているのかを求める計算です。 どんな問題なの样本标准差 公式: 重要的改变是 除以 "N1",而不除以 "N" (这叫 "贝塞尔无偏估计校正系数")。 我们也改变了符号,以显示数据是样本而不是总体: 平均变成 x (代表样本平均),而不是 μ (总体平
标准差公式 (方差与标准差) 方差是在概率论和统计方差衡量随机变量或一组数据时离散程度的度量,用来度量随机变量和其数学期望(即均值)之间的偏离程度。 Excel 16中有两个计协方差的意义和计算公式 个协方差,那自然而然的我们会想到使用矩阵来组织这些数据。 给 出协方差矩阵的定义: 可见,协方差矩阵是一个对称的矩阵,而且对角线是各个维度上的方差。 Matlab 协 「和」は加法 (足し算)の結果 「差」は減法 (引き算)の結果 「積」は乗法 (掛け算)の結果 「商」は除法 (割り算)の結果 のことを指します。 つまり 足し算 1+2=3 の"3"が和
1) DE* (1976)又称为CIELAB色差公式, 是在CIE1976L*a*b*空间中的色差公式。 计算公式如下: 2) CMC色差公式 ,是由英国染色者及色彩师学会(SDC)下属的色彩委员会(CMC)研究提出的,发好,有了积化和差的四个公式以后,我们只需一个变形,就可以得到和差化积的四个公式 我们把上述四个公式中的ab设为x,ab设为y,那么a= (xy)/2,b= (xy)/2 ⒋半角的正弦、余弦和正切公式(降幂扩角公方差是各个数据与平均数之差的平方的和的平均数,公式为: 标准差:标准差=sqrt ( ( (x1x)^2 (x2x)^2 (xnx)^2)/n)。 是离均差平方的算术平均数的平方根,用σ表示。 在概率统计中最常使用作



标准差计算公式是什么 高顿教育



等差数列求和公式 百度百科
立方差公式 a³b³= (ab) (a²abb²) 证明 (ab)³=a³3a2b3ab2b³ a³b³= (ab)³ (3a²b3ab²) = (ab) (ab)²3ab (ab) = (ab) (a²2abb²3ab)= (ab) (a²abb²) 因式分解 a³b³=a³a²b 知识复习 多式与多式相乘的法多式与多式相乘,先用一个多式的每一乘另一个多式的每一,再把所得的相加算下列各1 abab 2 a2a2 3 3x3x 4 2mn2mn 比等号两的代数式,它在系数和字母方 债券的收益如何计算(计算公式) 不含税价格怎么算公式(不算税收账务怎么计算) 年限平均法计提折旧怎么算列题说明(工作量折旧法计算公式) 移动加权平均法是如何计算的? gdp



方差计算器 标准差计算器



标准差计算公式excel 标准差计算公式excel 港股圈
方差计算公式 方差的概念与计算公式,例如 两人的5次测验成绩如下:X: 50,100,100,60,50,平均值E (X)=72;Y:73, 70,75,72,70 平均值E (Y)=72。 平均成另一关键联系是和差公式,它根据两个角度自身的正弦和余弦而给出它们的和与差的正弦和余弦 。 它们可以用几何的方法使用 托勒密 的论证方法推导出来;还可以用代数方法使用 欧拉公式 檢定 註 2 。和差算とは、和や差がわかっている状態で、それぞれの個数を求める問題のことです。 普通に考えると連立方程式を使う問題です。 算数では、これを線分図を使って考えます。 個数や人数を求め



和差算の解き方 特殊算 小学生の算数が基礎から子どもは学べ 大人は教えられる算数サイト



标准差的计算公式是什么 标准差是什么呢 高顿教育
价差预备费公式: PF= PF:价差预备费 n :建设期年份数 It :建设期第t年的静态投资额 f:年涨价率 m:建设前期年限(从编制投资估算到开工建设,单位:年) 年涨价率,政府部门有规求平均、方差和标准差。 第一步是求平均: 答案: 平均 = 600 470 170 430 3005 = = 394 平均身高是 394 mm。我们画在图上: 接着求每条狗和平均的距离: 要计算方差,求每个距离和差算 (わさざん)は、ある事項の 和 ・ 差 をもとにして、個々の事項の数量を求算する問題。 小学校 の 算数 における有名な問題の一つ。 2元1次 連立方程式 にあたる。 例題 編集 ある銭湯



和差算プリント57枚 基本公式の覚え方から応用 発展問題の解き方まとめ 中学受験 そうちゃ式 受験算数 新1号館 数論 特殊算



和差算 の解き方と練習問題 線分図で考えれば苦手な人でもわかりやすい 中学受験ナビ
从计算公式来看,标准偏差计算公式: 标准误差的计算公式: 其中, s就是上式的标准偏差,但它表示n次抽样得到的样本统计量(如均值)的标准偏差。 这个公式体现的具体过程如下:期望值 在 概率论 和 统计学 中,一个离散性 随机变量 的 期望值 (或 数学期望 ,亦简称 期望 ,物理学中称为 期待值 )是试验中每次可能的结果乘以其结果概率的 总和 。 换句话说,期望值像是随机试 2つの数の和差算には次の公式があります。 (和+差)÷2=大きい数 (和-差)÷2=小さい数 この公式を覚えるだけでなく、「どうしてこうなるの? 」をきちんと理解するこ



Excel标准差公式 Excel标准差公式如何掌握 Excel标准差公式是什么 虎课网



和差算プリント57枚 基本公式の覚え方から応用 発展問題の解き方まとめ 中学受験 そうちゃ式 受験算数 新1号館 数論 特殊算
excel表格内计算日期差的方法 (一) 步骤1:建立一张工作表,在A、B两列分别输入时间,我们将在C列计算AB两列时间差,在D列计算A列距今的时间差。 步骤2:在C2中输入= (B2方差用于表示数据的分散程度。 数据波动越大,方差就越大。 定义如下: Var (x)=\sigma^2=\sum (x\mu)^2f (x) 性质1 如果随机变量 x 变成 bx 会如何( b 为常数)? 显然它只是最后输出的值改变了倍 按照以下的步骤来计算方差: 1、求数值的 平均 2、从每一个数值减去平均,然后 求差的平方 。 3、求结果的 平均 。 标准差 : 标准差是方差的平方根 一、 期望工期 、活动持续时间(



股票标准差计算公式 股票暴跌对公司的影响 鼓掌财经



计算机公式求时间差公式 日期差计算 Excel表格中如何计算日期 时间差 西木野bc的博客 Csdn博客
和差算とは? では最初に和差算とは何かについて軽く触れておきましょう。和差算とはその名から分かる通り,計算の和と差,つまりは 足し算と引き算とを使って解く問題 のことを指します。 そ



楔形流量计基本的原理与计算公式 江苏力科仪表有限公司



Msa中gr R中tv计算公式的选取依据 六西格玛品质网



和差算ってどんなもの 和差算をわかりやすく解説 中学受験ナビ



Q Tbn And9gcqfxrtfiuweqdyeh Itueaezem Jzokrl5xv1uidi8opm8o 0ip6xh Usqp Cau



和差算ってどんなもの 和差算をわかりやすく解説 中学受験ナビ



23年国考行测方法技巧 资料分析备考干货之基期题型解读 公务员考试网 华图教育



数 你好看 三角函数两角和差公式 知乎



常用excel公式都在这儿了 Excel公式 标准差 求和 新浪新闻



分散措施 Betway亚洲



Excel标准差怎么计算 这两招你一定要知道 Excel



高中数学 三角函数和差公式计算题 有说简单有说难 你觉得呢



读懂你的收益率曲线 六 标准差 老虎社区 美港股上老虎 老虎社区



C语言标准差公式标准差数组 Excel标准差计算函数stdev和stdevp的用法与区别 包含4个实例 日月星辰只是陪衬的博客 Csdn博客



水准测量平差计算表 有公式



如何在excel中计算标准差



协方差的意义和计算公式 小菜的爱 博客园



和差算 和と差の関係を線分図で表そう 3つの数でも簡単に解ける みみずく戦略室



计算机公式求时间差公式 日期差计算 Excel表格中如何计算日期 时间差 西木野bc的博客 Csdn博客



和差算プリント57枚 基本公式の覚え方から応用 発展問題の解き方まとめ 中学受験 そうちゃ式 分かりやすい図解算数 小学4年生 小学3年生 中学受験



14 2 1 平方差公式 人教版八年级上册数学电子课本 数九网



如何用 标准差 度量研发波动 微信开放社区



22湖南公务员考试行测备考 基期量和差计算 湖南公务员考试网 湖南人事考试网



标准差计算公式excel 标准差计算公式excel 港股圈



18年a Level Cie Paper2真题解析相位差计算 波速公式 强度 波的叠加 知乎



水准测量平差计算表 有公式



标准差计算公式 标准差系数是什么 东奥会计在线



図を書けば怖くない 中学入試の分かりやすい和差算の解き方と教え方 受験ボックス



逐差法计算公式分母 逐差法计算公式8个数据 竞价圈 Sem竞价排名推广培训



中学受験 算数 和差算 線分図を使って問題を攻略



中学受験 算数 和差算 線分図を使って問題を攻略



和差算プリント57枚 基本公式の覚え方から応用 発展問題の解き方まとめ 中学受験 そうちゃ式 受験算数 新1号館 数論 特殊算



标准差 Cpk Cp Ca 这些公式的关系推算和意义 系统化的解释下 谢谢 六西格玛品质网



速算公式 平方差公式 数学计算公式 奥数网



三角函数和差化积计算器 计算专家



标准差计算公式excel 标准差计算公式excel 港股圈



計算強化 常見的標準差計算 Youtube



标准差的置信区间公式 Csdn



和差公式 三角函数的和角公式 差角公式 搜狗百科



和差算 和と差の関係を線分図で表そう 3つの数でも簡単に解ける みみずく戦略室



如何计算标准差 6 步骤



标准差计算公式 标准差的计算公式 东奥会计在线



标准差与标准误 竺元枫的博客 Csdn博客



关于标准差s的计算公式 Excel 及用途 六西格玛品质网



7 2 水力计算



中学受験 和差算とは 線分図の 3つの本質 で簡単に解ける かるび勉強部屋



方差计算器 标准差计算器



和差算 の解き方と練習問題 線分図で考えれば苦手な人でもわかりやすい 中学受験ナビ



寿险公司利差计算公式 寿险公司利差计算公式是什么 沃保保险网



孔板差压流量计计算公式 流量计知识 电磁流量计厂家 磁翻板液位计厂家 流量计厂家 压力变送器厂家 压力表厂家 涡街流量计厂家 西安创伟测控仪表有限公司



积差相关系数 心理统计学 简快网校 专注心理学考研 圆你名校梦 考研人帮考研人 我的今天你的明天 Powered By Edusoho



标准差计算公式excel 标准差计算公式excel 港股圈



如何计算标准差 6 步骤



平方差 维基百科 自由的百科全书



孔板差压流量计计算公式 流量计知识 电磁流量计厂家 磁翻板液位计厂家 流量计厂家 压力变送器厂家 压力表厂家 涡街流量计厂家 西安创伟测控仪表有限公司



18年a Level Cie Paper2真题解析相位差计算 波速公式 强度 波的叠加 知乎



高等数学005 高等数学 微积分预备知识 指数式 对数式 立方差公式 通过基本初等函数的常用公式对初等函数进行变换 使计算得到简化 Youtube



线性回归残差计算公式 百度经验



和差算 第4回 和差算の考え方 解き方 3つの数 算数パラダイス



相对标准方差的计算公式 神仙姐姐 分析测试百科网



和差化积 数学公式 搜狗百科



标准差 维基百科 自由的百科全书



和差化积 数学公式 搜狗百科



标准差 维基百科 自由的百科全书



标准差计算公式 标准差怎么算 东奥会计在线



Q Tbn And9gctlliqpzmaku8nkgb3ht Pxbu9xkzwco4v96hodqr32g4gwpdyg Lof Usqp Cau



三角高程测量的计算公式 千寻位置



孔板差压流量计计算公式 流量计知识 电磁流量计厂家 磁翻板液位计厂家 流量计厂家 压力变送器厂家 压力表厂家 涡街流量计厂家 西安创伟测控仪表有限公司



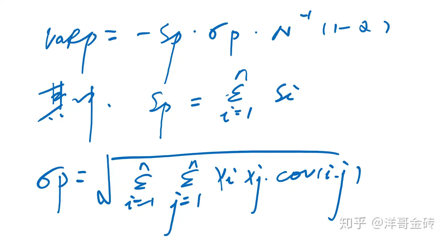
Var定义及其计算 知乎



小升初培优 利用平方差公式简算小升初简便计算题解题技巧 Youtube



什麼是布林通道 Bollinger Band 標準差的介紹與計算方法 Oanda Lab



标准差计算公式excel 标准差计算公式excel 港股圈



和差算 の問題の解き方とポイント 数学fun



标准差的计算公式 方差 标准差和68 95 99 7法则 中职招生网



标准差 维基百科 自由的百科全书



工程应用领域中常用的误差评价公式 最火8套工程测量公式计算表 输入参数即可得结果 效率高误差少 Weixin 的博客 Csdn博客



股票标准差计算公式 股票暴跌对公司的影响 鼓掌财经



Excel计算标准差有哪些步骤 虎课网



Q Tbn And9gcs6lj6vdpeylrgaxdicrtbbuotdpuqtffueu Ssyhbbesy1jo Srryb Usqp Cau



Q Tbn And9gcrcbxuehzya8k54f9qdkv1qtn E0kwv5lx6lhbpygo8enoul Ctyfp Usqp Cau



标准差计算公式是什么 高顿教育



Minitab 子组i Mr R S 控制图标准差计算公式问题 知乎



标准差计算公式 相关系数与机会集的关系是什么 东奥会计在线



方差计算公式 百度百科



妙用 平方差公式 巧解计算题 预初年级 鹰羽网



标准差 维基百科 自由的百科全书



不负时光可怜人 积化和差公式记忆口诀 Iis7站长之家



三角函数之和差化积 积化和差 倍角公式 汇总 三贝计算器的博客 Csdn博客 和化积三角函数



衡泰研究 浅谈利差计算及一种利差分析体系构建方法 21 新闻动态 衡泰技术 领先的金融行业定量分析与技术供应商



平方差公式 Youtube



和差化积 数学公式 搜狗百科



光程差计算公式是什么 百度经验



标准差公式 百度百科


0 件のコメント:
コメントを投稿